功率分析儀PW8001 調速電機的損耗分離和效率MAP圖制作
電動汽車的電機需實現從低速到高速的高效輸出。因此,通過改變電機的轉速和扭矩,繪制可展示在不同參數條件下效率表現的效率 MAP 圖就極為重要。
在本應用案例中,我們將為大家介紹基于永磁同步電機 (PMSM) 效率測試值制成的效率 MAP 圖。
逆變器輸出和電機輸出、損耗之間的關系

當逆變器向電機提供電壓時,電流流過電機繞組在定子中產生磁通量,磁通量產生的磁場使轉子旋轉。由于 PMSM 與逆變器輸出電壓的基波同步旋轉,因此電機的輸出中會含基波分量。另外,基波分量的一部分會作為電機的鐵損和銅損被消耗。另一方面,基波的諧波分量以及開關頻率等高頻分量則會成為損耗。
電機效率的測量

使用功率分析儀測量電機系統時,除逆變器的總輸出外,還可單獨測量基波輸出。此外,可以通過測量電機的扭矩和 轉速來測量電機的輸出。功率分析儀搭載了在這些值的基礎上內部運算效率及損耗的功能。因此,可輕松收集生成效率 MAP 圖所需的測量數據。

損耗分離 :銅損和鐵損
為了提高電機的效率,有必要將銅損和鐵損分開,并確定各自的損耗。銅損是由于繞組電阻引起的損耗。鐵損包括渦 流損耗和磁滯損耗,受磁場和頻率影響。功率分析儀可以分離這些損耗,并繪制在不同條件下損耗的 MAP 圖。
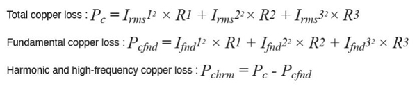
銅損的計算
電機銅損是指流過電機繞組的電流在導線電阻上產生的損耗。因此,可以通過事先測量電機的導線電阻,再結合功率分析儀測到的電流(lrms) 求出銅損。

在功率分析儀中,由于也會測量基波電流 (Ifnd),因此不僅可以計算所有銅損 (Pc),還能計算基波銅損 (Pcfnd)。 假設電機各相的繞組電阻值為 R1、R2、R3,則各自的銅損可通過以下公式計算。需要注意的是,總銅損 (Pc) 與基波銅損 (Pcfnd) 的差值即為諧波和高頻分量引起的銅損 (Pchrm)。
功率分析儀具有稱為“用戶定義函數(UDF)”的功能,因此通過定義公式可以在獲取測量值的同時計算銅損。
鐵損的計算
鐵損可從之前獲得的輸出和損耗中計算得出。

分離機械損耗測量較為困難,且通常其占比也小,因此在本資料中將其包含在鐵損內。
生成效率 MAP 圖
電機的輸出由扭矩和轉速決定。對于電動汽車等需要在廣泛范圍的轉速和扭矩下運行的電機而言,掌握不同動作條件 下銅損和鐵損的分布情況對設計的改進至關重要。因此,制作以動作條件為坐標的效率與損耗 MAP 圖 ( 包括總損耗、銅損、 鐵損 ),可為逆變器和電機的設計提供重要參考。
效率 MAP 圖生成示例
根據獲得的數據,使用 MATLAB* 生成效率 MAP 圖。
*MATLAB 是由 MathWorks 公司開發的軟件產品

生成高精度電機效率 MAP 圖
如上所述,電機的效率和損耗可以由逆變器和電機的輸出得出。然而,由于以下原因,高精度測量電機的效率和損耗有一定難度。
· 逆變器輸出由 PWM 調制而成,其中含有開關頻率及其諧波分量,因此需要寬頻帶的功率測量。
· 逆變器的諧波功率為低功率因數,測量儀器的相位誤差一旦較大就無法正確測量諧波功率。 · 電機要在低速至高速的廣泛范圍內運轉,因此需要在整個動作范圍進行高精度測量。
· 電機要在低速至高速的廣泛范圍內運轉,因此需要在整個動作范圍進行高精度測量。
PW8001 覆蓋了從 DC 到 5 MHz 的寬頻率帶寬,基本測量精度為 0.03%。此外,使用精度高的電流傳感器可進行大電流測量,通過電流傳感器的相位補償功能,即使是低功率因數也能實現高精度測量。

結語
本應用案例基于功率效率和損耗的相關理論,介紹了 PWM 法驅動 PMSM 的測量,將損耗分為銅損和鐵損的方法以 及效率與損耗 MAP 圖的生成。并且對于在電機研發與設計過程中,針對電機效率改善的實踐性測量、計算方法及如何運 用 HIOKI 的 PW8001 和電流傳感器解決測量上的課題進行了介紹。
技術支持















關注官方微信
