鎖相放大器(LIA)基本原理
鎖相放大器是微弱信號檢測領域的核心工具,廣泛應用于電生理、傳感器測量等場景。其核心在于利用信號相關性,從強噪聲背景中提取有用信號。
1.基本概念
1)適用范圍
提取被隨機噪聲(白噪聲)和1/f噪聲(低頻噪聲)污染的有用信號
2)基本原理
鎖相放大器是用來檢測微弱信號,這些信號中通常伴隨著比信號本身數千倍的噪聲。鎖相放大器由其特殊的方法可以精確的測量這些微弱信號。這種方法便是基于信號的相關性。
a)輸入信號被周期性信號(方波或正弦波)調制
b)正弦信號具有完備性,噪聲信號是隨機信號(白噪聲),且隨機信號與正弦信號不具備相關性
鎖相放大器的核心技術為相敏檢波(PSD)。傳統的處理微弱信號的方法是采用放大器,但放大器會同時放大有用信號和噪聲,如果沒有帶寬限制或濾波,將會導致信噪比(SNR)比較差,因此若想精確的測量出這些信號,就需要采用濾波器來凈化這些信號,提高信噪比(SNR)。而相敏檢波可以被看作是一個具有很窄帶寬的帶通濾波器。相敏檢波(PSD)基本框圖如下圖。

單相鎖相放大器框圖如下圖。

其中,
為輸入信號,式中為測試信號,也就是我們的有用信號,為總噪聲。
為參考信號,它與輸入信號有相同的頻率,但它們之間有一定的相位差。
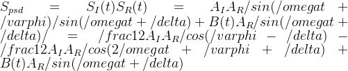
經過相敏檢波(PSD)后,得(使用積化和差公式):

3.雙相鎖相放大器
雙相鎖相放大器也叫正交鎖相放大器,它包含2個相敏檢波(PSD),其結構框圖如下圖。

在單相LIA結構中,輸入信號包含有用信號和噪聲,參考信號與之同頻但存在相位差。兩者在相敏檢波器中相乘,輸出包含直流分量、二倍頻分量及噪聲項。隨后,低通濾波器(LPF)濾除高頻分量和無相關性的噪聲,最終輸出穩定的直流信號,其幅值與輸入信號幅值及相位差余弦成正比。
為克服單相LIA需手動調節相位且精度不穩的缺陷,雙相(正交)LIA采用兩路相位差90°的參考信號,分別進行解調,得到相互正交的輸出X和Y。通過計算這兩個輸出的合成值和角度,可同時獲得信號的幅值和相位信息,實現全范圍高精度測量,無需動態調整參考相位。
隨著數字技術的發展,數字鎖相放大器(DLIA)逐漸成為主流。它通過ADC對信號數字化,利用FPGA或DSP實現混頻與濾波的全數字化處理,具有集成度高、配置靈活、性能穩定等優勢。現代LIA不僅作為精密交流電壓表和相位計,還可集成功能如阻抗分析、頻譜測量等,是科研與工程中不可或缺的高靈敏度測量儀器。
技術支持














關注官方微信
