R&S?FPC1500頻譜分析儀射頻端口阻抗驗證
匹配良好的射頻端口是所有射頻系統的重要組件。例如,匹配端口可防止放大器輸出端口出現反射功率過載。這種無用反射功率會損壞整個放大器。匹配端口還可以盡量提高功率傳輸,有效延長用于物聯網 (IoT) 等領域的無線產品的電池壽命。
您的任務
在射頻領域,單端組件的特性阻抗有兩個標準值:
50 Ω 和 75 Ω。大多數電纜、連接器和射頻組件都符合其中一個數值。75 Ω 常見于(有線)電視應用,因為這一數值接近射頻衰減最低的阻抗值 77 Ω。50 Ω 均衡了高功率傳輸能力 (30 Ω) 和低衰減。但是,重點在于確保所有組件具備相同的阻抗值。阻抗匹配
實現最大功率傳輸
根據功率傳輸定理,實現最大功率傳輸的關鍵在于將源阻抗 Z0 與負載阻抗 ZL 進行匹配。在匹配的情況下,ZL 與 Z0 相等。
降低射頻功率反射
端口匹配程度可以用三個參數表示:
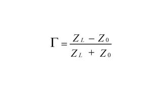
1. 反射系數
反射波相對于入射波的百分比用 Γ 表示:

源和負載完美匹配時 Γ = 0;全反射時 |Γ| = 1。
2. 電壓駐波比 (VSWR)
反射也可用電壓駐波比(VSWR)表示:

VSWR 用于衡量功率的傳輸效率。如果 VSWR = 1,則表示功率傳輸一流,無任何反射;數值越高,則表示阻抗匹配的改進余地越大。反射功率越大,傳輸功率越小,會導致不必要的電池消耗。這還會損壞信號源。
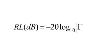
3. 回波損耗
反射也可以用回波損耗表示:


電抗圓
回波損耗用于衡量端口的匹配程度?;夭〒p耗越高越好。相較于 VSWR,回波損耗能夠更好地測定匹配特性是否良好,因此更常用于表示反射。
您可以通過史密斯圓圖直觀顯示負載匹配的測量情況。史密斯圓圖功能出色且久經驗證,非常適用于查看匹配特性。它以圖形方式顯示電阻部分(電阻圓圖)和電抗部分(電抗圓圖)的阻抗,其中上半圓內為感抗,下半圓內為容抗。圖上的每一個點都代表與特定頻率相關的阻抗。這些數值可表示為復雜等式 Z = R ± jX。電阻部分由實部項 R 表示,電抗部分由虛部項表示。

電阻圓
在傳統的史密斯圓圖中,電阻從 0(圓圖最左側)上升到無窮大(圓圖最右側)。史密斯圓圖的上半圓顯示 jX 正值,表示阻抗為感抗;下半圓內數值為負,表示阻抗為容抗。請注意,史密斯圓圖會根據所用設備歸一化為參考阻抗(50 Ω 或 75 Ω)。
羅德與施瓦茨解決方案
選擇正確組件并通過測量進行驗證,是實現良好阻抗特性的簡單方法。要執行此類測量,簡單的方法是使用帶史密斯圓圖顯示功能的矢量網絡分析儀 (VNA)。R&S?FPC1500 具有三位一體的特點。它是功能強大的經濟型頻譜分析儀,可提供獨立的信號源。同時,它也是帶集成式 VSWR 電橋的單端口矢量網絡分析儀。內置史密斯圓圖顯示和標記功能會根據所選阻抗系統自動將歸一化電阻轉換為歐姆值。
為了補償電纜和連接器的影響,需要在測量平面(即耦合網絡位置和網絡分析儀電纜之間的接口)進行校準。手動校準需要手動切換開路器-短路器-負載標準件,既容易出錯又耗時。R&S?ZN-Z103 校準單元可自動切換標準件。這有助于減少連接錯誤,并將校準時間縮短到幾秒。
首先設置測量條件,包括所需頻率范圍、分辨率帶寬和測量點數量。然后,將 R&S?ZN-Z103 連接到 R&S?FPC1500 的 USB 端口。儀器會自動識別校準單元。接著,將同軸電纜的兩端分別連接到 R&S?FPC1500 的輸出端口和校準單元。依次按下“Calibrate”(校準)、“Full 1-port”(全單端口)。儀器現已完成校準,可以檢測被測設備。
以下屏幕截圖顯示了 2.4 GHz ISM 頻段內 VSWR、回波損耗和史密斯圓圖的結果示例:

實際操作中,駐波比不可能為1,因此1.6左右為可接受數值。根據經驗法則,駐波比應小于1.5。

通過手動計算或只需按下按鈕,得出回波損耗約為 12 dB。

史密斯圓圖中顯示的阻抗

R&S?FPC1500 測量射頻設備的端口
總結
為了盡量降低損耗或反射功率并延長電池壽命,驗證射頻端口是一個重要步驟。這還可以防止組件過熱或出現永久損壞。R&S?FPC1500 功能強大、使用簡單且經濟高效,非常適用于此類驗證任務。
技術支持












關注官方微信
