同惠TH300E助力肖特基二極管C-V特性精準測試
在半導體器件原理、半導體材料基礎及電子薄膜材料與器件等核心課程中,肖特基二極管的C-V特性測試是理解器件物理特性、掌握半導體材料摻雜濃度計算的關鍵實驗環節。
肖特基二極管(SBD)也被稱為肖特基勢壘二極管,是一種具有低正向壓降,高反向擊穿電壓,和快速開關速度的特殊二極管,它在高頻、低壓和大電流電路中表現出色,廣泛應用于整流、檢波、開關及高頻信號放大等領域。
然而,傳統實驗設備存在以下痛點:
1、功能單一:僅能完成基礎電容測量,無法滿足多參數綜合分析需求;
2、操作復雜:需要手動調節偏置電壓、頻率等參數,實驗效率低下;
3、數據精度低:受限于設備性能,高頻信號測量誤差大,影響教學結果;
4、教學配套弱:缺乏與課程理論結合的實驗指導資源。
TH300E集成電路教學實驗平臺
同惠電子深耕測量測試領域多年,依托微電子/半導體領域技術積累,推出TH300E集成電路教學實驗平臺,針對上述痛點提供全流程解決方案:
核心功能優勢
1、CV特性專項測試模塊:集成TH510系列半導體器件C-V特性分析儀,實時顯示C-V曲線;
2、多課程實驗覆蓋:適配《半導體器件原理》《固體物理基礎》等課程需求,支持MOSFET、PN結、電阻式傳感器等器件測試;
3、智能化教學平臺:圖形化操作界面,支持實驗參數自動配置。
一、實驗目的
(一)了解肖特基二極管的構造
肖特基二極管是貴金屬(金、銀、鋁、鉑等)作為正極,以 N 型半導體為負極,利用兩者接觸面上形成的勢壘具有整流特性而制成的金屬-半導體器件。
構造:以重摻雜的 N+為襯底,厚度為幾十微米,外延生長零點幾微米厚的 N型本征半導體作為工作層,在其上面再形成零點幾微米的二氧化硅絕緣層,光刻并腐蝕直徑為零點幾或幾十微米的小洞,再用金屬點接觸壓接一根金屬絲或在面接觸中淀積一層金屬和 N 型半導體形成金屬半導體結,在該點上鍍金形成正極,給另一面 N+層鍍金形成負極,即可完成管芯,如圖 1-1 所示。

圖 1-1 肖特基二極管結構圖
(二)肖特基勢壘的形成原理
①功函數與電子親和能金屬的功函WM
金屬的功函數表示一個起始能量等于費米能級的電子,由金屬內部溢出到表面外的真空中所需的最小能量,功函數的大小標志電子在金屬中被束縛的強弱。如圖 1-2(a)所示。
WM = E0 ? (EF)m E0為真空中電子的能量,又稱為真空能級。

1-2 a)金屬功函數 (b)半導體功函數半導體的功函數 WS
E0與費米能級之差稱為半導體的功函數如圖1-2(b)所示。WS = E0? (EF)S和金屬不同,半導體的費米能級隨摻雜類型和摻雜濃度而變化,所以WS也與雜質類型和雜質濃度有關。
定義真空能級E0和導帶底能量EC的能量差為電子親合能,用χ表示,即X=E0-EC,電子親合能表示使半導體導帶底的電子溢出體外所需的最小能量。
②肖特基勢壘結的形成
功函數不同的兩種晶體形成接觸時,由于費米能級EF不在同一水平上,將有電子自EF較高一側的表面流向對方表面,在兩側晶體的表面形成電荷層,從而在兩者之間形成電勢差,直到費米能級達到同一水平時,將不再有電子流流動。這時在兩者之間形成的電勢差稱為接觸電勢差。接觸電勢差正好補償兩者費米能級之差。
假定有一塊金屬和一塊 n 型半導體,并假定金屬的功函數大于半導體的功函數,即:Wm>WS。由于它們有相同的真空能級,所以在接觸前,半導體的費米能級EFS高于金屬的費米能級EFm,且EFS ? EFm = Wm ? Ws,如圖 1-3(a)所示。

圖 1-3(a)金半接觸前能級 (b)金半接觸后能級變化
當金屬和 N 型半導體接觸時,由于半導體的費米能級高于金屬中的費米能級,電子流從半導體一側向金屬一側擴散,同時也存在金屬中的少數能量大的電子跳到半導體中的熱電子發射;顯然,擴散運動占據明顯優勢,于是界面上的金屬形成電子堆積,在半導體中出現帶正電的耗盡層,如圖 1-3(b)所示。界面上形成由半導體指向金屬的內建電場,它是阻止電子向金屬一側擴散的,而對熱電子發射則沒有影響。隨著擴散過程的繼續,內建電場增強,擴散運動削弱。在某一6耗盡層厚度下,擴散和熱電子發射處于平衡狀態。宏觀上耗盡層穩定,兩邊的電子數也穩定。界面上就形成一個對半導體一側電子的穩定高度勢壘:?S=(Wm-Ws)/q
它和耗盡層厚度有如下關系:?S =(eNDW2D)/ 2?,其中ND為 N 的摻雜濃度,在勢壘區,WD為耗盡層寬度。電子濃度比體內小的多,是一個高阻區域,稱為阻擋層,界面處的勢壘通常稱為肖特基勢壘。耗盡層和電子堆積區域稱為金屬-半導體結。
③肖特基二極管的整流特性
如果給金屬-半導體結加上偏壓,則根據偏壓方向不同,其導電特性也不同。
零偏壓:保持前述勢壘狀態,如圖 1-4(a)所示。
正偏:金屬一側接正極,半導體一側接負極,如圖 1-4(b)所示。
外加電場與內建電場方向相反,內建電場被削弱,耗盡層變薄,肖特基勢壘高度降低,使擴散運動增強,半導體一側的電子大量的源源不斷的流向金屬一側造成與偏壓方向一致的電流,金屬-半導體結呈正向導電特性,且外加電壓越大,導電性越好,其關系為:
?s ? VD=(eNDW2+)/2?
反偏:金屬一側接負極,半導體一側接正極,如圖 1-4(c)所示。外加電場與內建電場方向一致,耗盡層變厚,擴散趨勢削弱,熱電子發射占優勢,但這部分電子數量較少,不會使發射電流增大。在反偏電壓的規定范圍內,只有很小的反向電流。在反偏情況下,肖特基勢壘呈大電阻特性。反偏電壓過大時,則導致反向擊穿。
圖 1-4 肖特基二極管在不同偏壓下的情況
肖特基二極管與 PN 結二極管具有類似的整流特性,硅肖特基二極管的反向飽和電流比典型的 PN 結二極管的反向飽和電流大 103~108倍,如圖 1-5 所示,7具體的數值取決于肖特基勢壘高度。較小的肖特基勢壘高度導致反向飽和電流較大,較大的反向飽和電流意味著產生相同的正向電流,肖特基二極管的正向導通電壓較小,這個特性使得肖特基二極管更適合應用于低壓以及大電流領域。

圖 1-5 肖特基二極管伏安特性曲線
④勢壘電容
耗盡層的厚度隨外加電壓的變化直接反映著耗盡層具有一定的電容。耗盡層的兩個界面可以看作平行板電容器的兩個面板,假如半導體內雜質濃度是均勻的且不存在氧化層,則在耗盡層的區域內,其電容為:

式中,A 為結面積,ND為 N 型半導體外延層施主濃度,VD為自建電壓,VR為外加電壓。

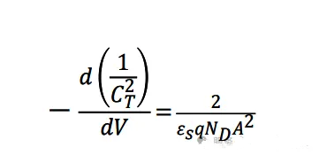
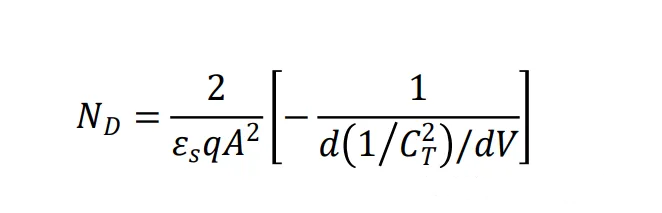
如果半導體均勻摻雜,則1/(C2T)-V為一條直線,通過直線的斜率可求得半導體的摻雜濃度為:

將實驗測得的1/(C2T)-V直線外推至1/(C2T)= 0 處,得到截距VD。
二、學習半導體參數提取技巧
針對高校實驗室建設需求,TH300E提供以下配置方案:

1、實驗步驟:
(1)將測試夾具(TH26011D)與 LCR 表(TH511)四端測試端連接。
(2) 直流電源(TH6412)的 CH1 的正極連接夾具的正極,負極連接夾具的負極。
(3) 夾具的 High 端連接肖特基二極管的陰極 (以 VS-72CPQ030 為例),Low 端連接二極管的陽極。
(4) 開啟測試軟件
(5) 在上位機軟件中選擇本實驗測試項目(肖特基勢壘特性及雜質的測量),選擇產品類型。
(6) 點擊測試開始,測試結束后,軟件上會顯示測試數據。

圖 1-6 肖特基勢壘特性及雜質的測量實驗原理圖
未來,同惠電子將繼續以產學研深度融合為基石,將前沿測試技術轉化為教學工具,為微電子與半導體領域的人才培養注入創新動能。
技術支持















關注官方微信
